国网电力科学研究院有限公司 吴巨爱,薛禹胜,谢东亮等:电动汽车参与运行备用的能力评估及其仿真分析
原文发表在《电力系统自动化》2018年第42卷第13期,欢迎品读。
电动汽车参与运行备用的能力评估及其仿真分析
DOI: 10.7500/AEPS20180130012
吴巨爱,薛禹胜,谢东亮,岳东,文福拴,赵俊华
电动汽车(electric vehicle, EV)的备用能力按调节方向可分为上备用(向电网反向放电或降低充电功率以应对频率降低)能力和下备用(降低放电功率或增加充电功率以应对频率升高)能力2类,按照稳定提供一定容量备用的服务时间还可进一步细分为短时(1 h到几h)、长期(1日到几日)等。EV参与运行备用的能力与当前充/放电功率、当前荷电量状态(state of charge, SOC)、电池组容量、最大充/放电功率、以及用车开始和结束时间等因素有关;由于其中的一些因素为时变因素,因此充电过程中EV提供备用的能力也呈现出时变特征。更重要的是,作为一种可调控负荷,EV的备用能力决定于需求弹性,而EV的需求弹性又由充电合约决定,充电合约最终由用户参与意愿决定。然而,现有研究却在问题形式化时忽视了与用户参与意愿有关的参量。既然用户参与意愿在确定EV备用能力方面具有决定性作用,就有必要在EV参与备用研究中计及用户行为的研究。
本文首先设计了兼顾系统调控需求与用户出行需求的充(放)电合约机制,提出了EV短时备用能力计算方法和响应电价变化的有序充/放电策略。基于上述模型或方法,实例分析了典型EV单体及集群在不同充电策略下,向电网提供多种可调控备用容/电量产品的能力。
充电合约需要满足用户的各类出行需求,包括不确定性需求。因此EV的电量需始终大于与用户约定的某一数值(称为保底电量Ems),以保障用户不定时用车需求。根据EV刚接入电网时起始电量的不同,充(放)电策略可按以下2步考虑:
1)Estart < Ems时,立即以最大充电功率(如图1中①~②)充电至保底电量,然后启用下一步的充电策略。
2)Estart ≥ Ems时,进一步应用给定的充(放)电策略。考虑到在计划的充电结束时间内需达到或超过期望电量(图1中状态④),本步充(放)电策略输出在“时间-电量”平面上留下的路径只能处于图1阴影区域所示的“充/放电可行域”内。

图1 EV充/放电可行域
因此,支持EV参与电网备用服务的充电合约至少包括以下参数:“入网时间”、“离网时间”、“起始电量”、“保底电量”、“期望电量”、“充电价格”等。
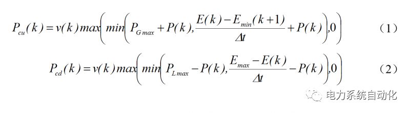
对时间轴离散化,将一个调度周期T分割为n个长度为∆t的时段。在充/放电可行域的约束下,通过机理分析推导出EV单体的上、下备用能力可按式(1)、式(2)计算:

其中v(k)表示第k个时间段EV是否在线的状态(“1”表示在线,“0”表示离线);P(k)为当前运行功率;PGmax+P(k)为功率边界的影响;E(k)–Emin(k+1)为第k个时段内的最大可放电量,[E(k)–Emin(k+1)]/∆t+P(k)则为考虑当前工况下EV的可放电量潜力,反映出电量边界的影响。上述表达式意在通过比较功率边界与电量边界,计算出各时段EV的上、下备用容量。
除车辆本身的状态、下次出行的需求以外,EV的备用能力与充电策略的选择也密切相关。本文中,选取表1所列的4种典型充(放)电策略,进而考察不同策略对EV备用能力的影响。“延时3 h充电”为考虑夜间用电高峰时间分布特征的一种延时充电策略。其中策略4采用的优化目标旨在运营商的效益最大化,运营商效益主要包括充电费收入、备用服务收入2部分,同时扣除购电成本。
表1 充(放)电策略

设置EV单体的技术参数以及仿真中备用措施(reserve measure, RM)能力市场的规则。RM能力市场时间尺度指当EV的备用能力被调度时,需要在该时段内能够提供恒定容量的等效电量。
图2为起始SOC=50%时表1各策略下单个EV 的1 h备用能力(指EV具备在1 h内持续提供一定容量备用的能力,1 h在图2中占横轴的一格)的仿真结果。策略1中当充电功率大于0的时候EV具有提供上备用的能力,上备用容量等于实时充电功率,此时EV相当于可中断负荷。相比策略1,策略2中EV提供上备用的能力发生时移,同时延时充电给EV预留出提供下备用的空间,下备用容量等于最大充电功率。相比策略2,策略3中EV的放电潜能得以释放,提供上备用的能力大幅提升;可放电的EV是一类需求侧分布式发电资源,而不仅仅被视为可中断负荷。策略4中设置现货电价πe = 0.5元/kW·h,备用容量价格πcu = πcd = 0.05元/kW·h;相比未经优化的其它策略,此策略下EV上、下备用能力均有明显提高,反映出EV向电网提供有偿备用服务符合充电商效益最大化的目标。

图2 起始SOC=50%时不同策略下EV单体的1 h备用能力
充电电价依据现阶段居民峰谷电价;取上、下备用容量价格为0.05元/kW·h。签约用户理论上可向电网申报的上、下备用能力如图3所示。图3同时给出了用户响应受控合约前后,EV集群的充电功率变化情况。

图3 有序充/放电下EV集群理论可申报的1 h备用能力
市场设计的时间尺度决定了合约的生效时长,对持续服务能力非常有限的EV来说,该参数对EV的备用能力有显著影响。在时间尺度限定下EV只能申报该时段内可提供的持久性备用能力,这通常对应取时段内最低的RM容量,以确保服务的可用性。仿真结果表明,时间尺度越小EV集群可申报的RM容量越大,越小时间尺度的RM能力市场越能发挥EV的潜在价值。
本文在平衡用户出行和向电网提供备用服务的矛盾需求的前提下,设计了合理的EV受控充电的合约机制;通过对上述机制下EV充(放)电过程的分析,提出EV单体上、下备用能力的定量评估方法,给出不同充电策略下EV单体备用能力的典型时间分布。基于给定的用户响应意愿,对典型EV集群在典型电价机制下的备用能力进行了实例分析。为了充分发挥EV的备用潜能,RM能力市场应进一步区分为多时间尺度,同时应建立反映系统实际备用需求的RM容量电价机制,在充电合约中针对不同需求响应能力给出不同费率,才能调动EV真正发挥其备用能力。
相关新闻:
-
无相关信息

- 基于多维全状态感知的大电网风
2019-03-03

- 智能电网:物联网应用与潜在安全
2019-03-02

- 全球能源互联网研究院有限公司
2019-02-24

- 人工智能在电力系统及综合能源
2019-01-09

- 国网浙江省电力有限公司 陈蕾:
2018-11-27
